











Ôn Thi Vào Lớp 10 THPT Môn Toán: Bài Thi Trắc Nghiệm
Hiện nay, đổi mới nội dung chương trình, phương pháp dạy - học, đặc biệt là kiểm tra đánh giá trong giáo dục đang là một yêu cầu tất yếu. Trong những năm gần đây, một số tỉnh đã bắt đầu sử dụng hình thức trắc nghiệm khách quan trong kì thi tuyển sinh vào lớp 10 THPT. Với hình thức trắc nghiệm, học sinh không thể học tủ, học lệch vì nội dung đề thi thường bao phủ toàn bộ chương trình học. Đồng thời đòi hỏi các em có kiến thức vững vàng, kỹ năng tính toán kết hợp khả năng phân tích, tổng hợp và phán đoán nhạy bén mới có thể đạt kết quả cao.
Nhằm giúp các em có tài liệu ôn tập trước kì thi vào lớp 10 THPT, tác giả đã biên soạn cuốn sách “Ôn thi vào lớp 10 THPT môn Toán bài thi trắc nghiệm”. Cuốn sách có cấu trúc gồm 3 nội dung chính:
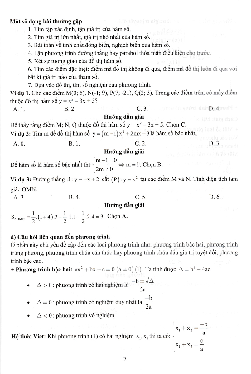
Phần I. Một số lưu ý khi làm bài thi trắc nghiệm. Để làm bài thi hiệu quả các em học sinh cần nắm chắc kiến thức cũng như phương pháp giải các dạng bài thường có trong đề thi. Cùng với đó, các em cũng cần trang bị cho mình các kinh nghiệm, kỹ năng làm bài thi trắc nghiệm. Phần này tập trung trình bày tóm tắt các dạng câu hỏi thường gặp và một số kỹ năng khi làm bài thi trắc nghiệm.
Phần II. Một số đề ôn luyện: bao gồm 10 đề ôn luyện được biên soạn công phu, các dạng câu hỏi đa dạng, bám sát chương trình thi. Việc ôn luyện qua các đề thi nhằm giúp các em tăng cường năng lực tự học, làm quen với định dạng của đề thi cũng như định hướng được nội dung cần ôn tập, những kiến thức còn thiếu hụt.
Phần III. Đề tuyển sinh vào lớp 10 một số tỉnh. Phần này trình bày một số đề thi trắc nghiệm của một số tỉnh trong những năm gần đây và đáp án để các em học sinh có thể đối chiếu sau khi thực hành.
Tác giả mong rằng cuốn sách sẽ là tài liệu hữu ích với các thầy cô và các em học sinh trong việc ôn tập chuẩn bị cho kì thi chuyển cấp này.
Giá sản phẩm trên Tiki đã bao gồm thuế theo luật hiện hành. Bên cạnh đó, tuỳ vào loại sản phẩm, hình thức và địa chỉ giao hàng mà có thể phát sinh thêm chi phí khác như phí vận chuyển, phụ phí hàng cồng kềnh, thuế nhập khẩu (đối với đơn hàng giao từ nước ngoài có giá trị trên 1 triệu đồng).....












| Công ty phát hành | Công ty Cổ phần sách và Công nghệ giáo dục Việt Nam - Eduking |
|---|---|
| Loại bìa | Bìa mềm |
| Số trang | 135 |
| Nhà xuất bản | Nhà Xuất Bản Dân Trí |
| SKU | 6056225544761 |
cambell nghị luận xã hội hoá học trang anh 50 đề minh họa 2022 môn toán học đánh giá năng lực tổng ôn ngữ pháp tiếng anh sách cô trang anh sách ôn thi thpt quốc gia 2022 tổng ôn ngữ pháp cô trang anh moon book hoa văn sổ tay full kiến thức 6 môn lớp 10 chinh phục đề thi vào 10 vật lý 10 công phá toán 3 atlat địa lý việt nam olympic 30 tháng 4 tiếng anh 35 đề tiếng anh vào 10 sổ tay kiến thức sử địa gdcd sổ tay sử địa gdcd sinh học toán sách ôn thi vào 10 bứt phá điểm thi vào 10 bảng tuần hoàn hóa học lí luận văn học văn nghị luận xã hội tài liệu chuyên toán